热搜: 重大行政决策 农村土地征收 公务员招考 事业单位招考 规划计划
市政府部门网站
区县政府网站
地方政府网站
其他网站
重庆市沙坪坝区人民政府版权所有 重庆市沙坪坝区人民政府办公室主办 联系我们
ICP备案:渝ICP备19004061号-1 国际联网备案: 渝公网安备 50010602500861号 网站标识码:5001060020
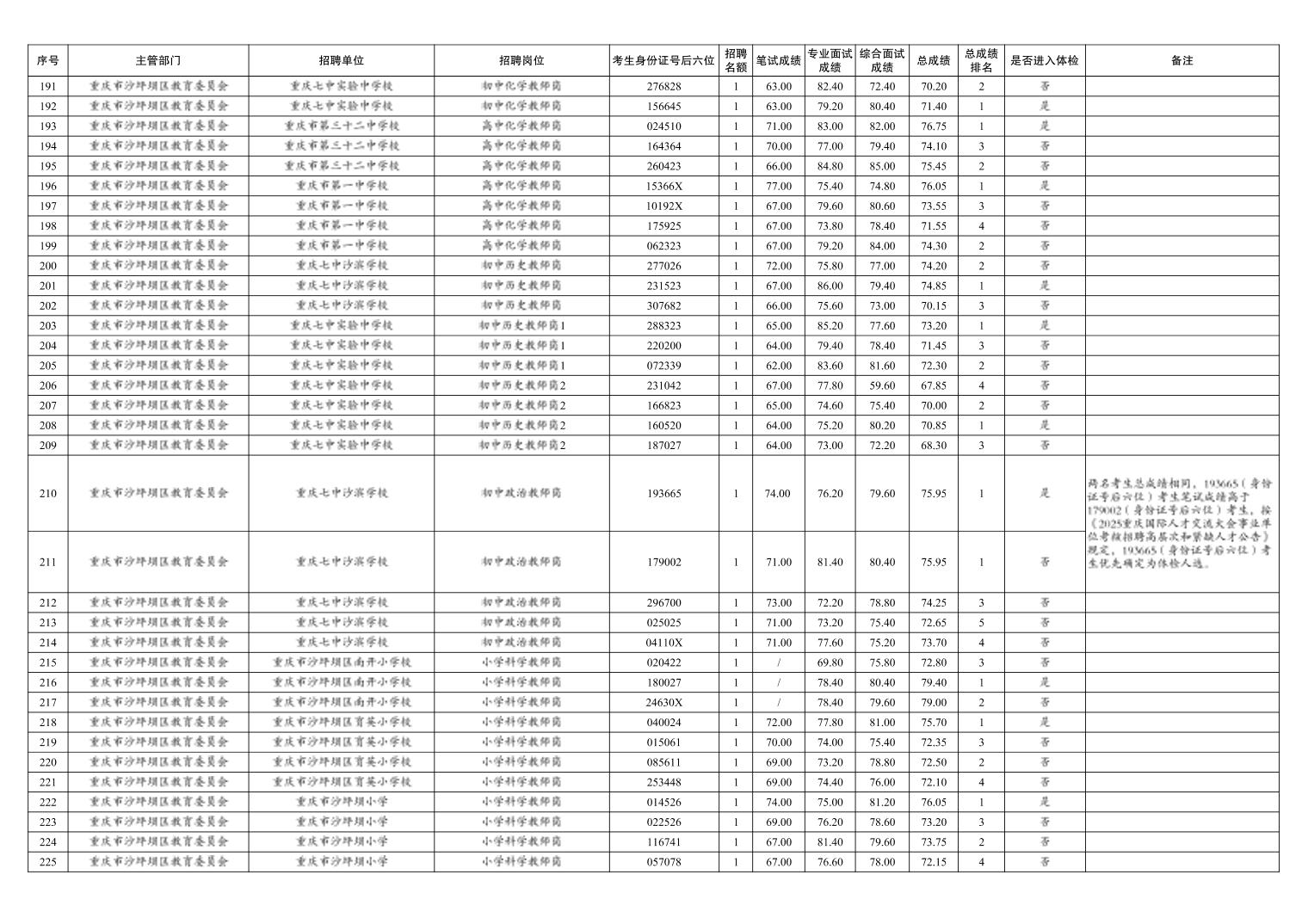
违法和不良信息举报电话:023-12345 网上有害信息举报